各位考生:
根据教育部相关文件规定,经各省级招生主管部门审核通过,现发布我校2026年艺术类本科专业与各省统考子科类对照关系(见附件),请有意报考我校的考生仔细阅读,具体招生专业(含招考方向、招收范围)及其他招生相关要求以各省级招生主管部门公布为准。
说明:
1.戏曲类招生专业与省际联考对照及相关考试招生信息见我校后续公告。
2.制定分省计划的招生专业,具体招生计划见高考志愿填报期间各省级招生主管部门公布的文件。


























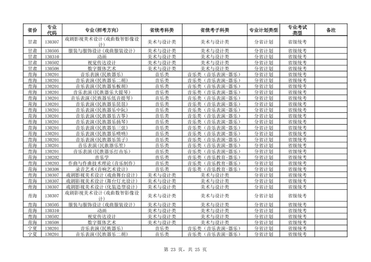
各位考生:
根据教育部相关文件规定,经各省级招生主管部门审核通过,现发布我校2026年艺术类本科专业与各省统考子科类对照关系(见附件),请有意报考我校的考生仔细阅读,具体招生专业(含招考方向、招收范围)及其他招生相关要求以各省级招生主管部门公布为准。
说明:
1.戏曲类招生专业与省际联考对照及相关考试招生信息见我校后续公告。
2.制定分省计划的招生专业,具体招生计划见高考志愿填报期间各省级招生主管部门公布的文件。
























