全国免费服务热线:4008880273
帮助反馈
全国艺术类志愿填报系统
网页端
首页
选大学
查专业
看政策
模拟填报
智能填报
艺考小工具
首页
资讯详情
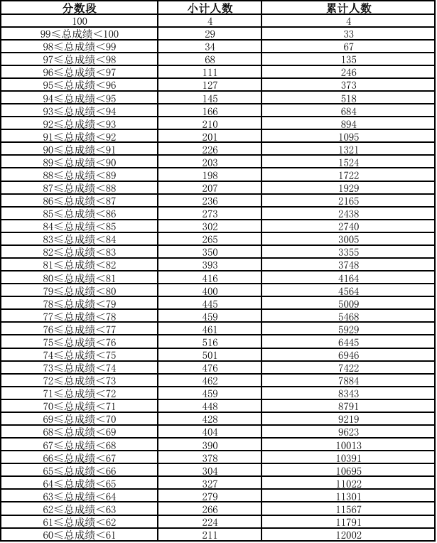
云南省2026年体育专业统考合格考生总成绩分数段统计表
省份政策
2026-04-07